עיתונאיות ועיתונאים, הירשמו כאן להודעות לעיתונות שלנו
הירשמו לניוזלטר החודשי שלנו:
בעתיד מחשבים קוונטיים אמורים לפתור בעיות שנחשבו בלתי פתירות, לנבא מראש כיצד חומרים כימיים יגיבו אלו עם אלו ואף לספק תחזית מהימנה של מזג האוויר, אך לעת עתה הם רגישים מאוד להפרעות מהסביבה ואיבוד מידע. מחקר חדש ממעבדתו של ד"ר יובל רונן במכון ויצמן למדע, המתפרסם היום בכתב-העת המדעי Nature, חושף עדות חדשה לקיומם של החלקיקים האקזוטיים "אניונים לא-אבליים" – מועמדים מבטיחים לבניית מחשב קוונטי עמיד לטעויות – בתוך החומר גרפן דו-שכבתי.

במכניקת הקוונטים חלקיקים מתנהגים גם כגלים, ותכונותיהם מתוארות באמצעות פונקציית גל. פונקציית הגל יכולה לתאר את מצבו של חלקיק יחיד או של מערכת חלקיקים. פיזיקאים מסווגים את החלקיקים בטבע לקבוצות לפי האופן שבו פונקציית הגל של שני חלקיקים משתנה כאשר הם מחליפים ביניהם מקומות. עד לשנות ה-80, הכירו הפיזיקאים שני סוגי חלקיקים בלבד – חלקיקים שפונקציית הגל שלהם לא משתנה כשהם מחליפים מקום (בוזונים), כדוגמת חלקיקי אור, וחלקיקים שהפונקציה שלהם מתהפכת (פרמיונים), כדוגמת אלקטרונים. אך, בשנת 1982 התגלה מצב חדש של חומר שבו יכול להתקיים סוג נוסף של חלקיקים, שלא קיימים בצורה טבעית. כאשר חלקיקים אלו מחליפים מקומות, פונקציית הגל עשויה להסתובב בכל זווית בין 0 ל-180 מעלות – ולכן ניתן להם השם "אניונים", שמקורו במילה "Any".
אניונים מופיעים רק בטמפרטורות הקרובות לאפס המוחלט, תחת שדה מגנטי חזק, כשמתקיימים קשרים חזקים בין החלקיקים ואך ורק במערכות דו-ממדיות, כלומר בפיסות חומר דקיקות שהתנועה לגובה בהן אינה אפשרית. במצבים אלו, התברר כי אלקטרונים בחומר מפסיקים להתנהג כחלקיקים שלמים ומתחילים להתנהג כשברי אלקטרונים – האניונים. לפי התאוריה שהתפתחה מאז, ישנם למעשה שני סוגי אניונים: "אניונים אבליים", שאצלם החלפת מקום מסובבת את פונקציית הגל בלבד, ו"אניונים לא-אבליים", שהחלפה ביניהם גם מסובבת את פונקציית הגל וגם משנה את צורתה. שברי אלקטרון עם מכנה אי זוגי – כמו למשל שליש אלקטרון – הם אניונים אבליים, ומשערים ששברי אלקטרון עם מכנה זוגי – כמו רבע אלקטרון – הם לא-אבליים.
""מחשבים קוונטיים מוגבלים כיום לשדות מחקריים צרים וכדי שהם יהיו שימושיים יותר הם חייבים להיות אמינים. המחקר החדש מקדם אותנו צעד נוסף בדרך לשם"
"החלפה של אניונים לא-אבליים משאירה חותם על הצורה של פונקציית הגל", מסביר ד"ר רונן. "אם ניקח שלושה אניונים לא-אבליים ונחליף את הראשון בשני ואז את השני בשלישי, נקבל פונקציית גל בעלת צורה שונה מזו שהיינו מקבלים אילו היינו מחליפים אותם בסדר אחר. זו דרך לקודד ולאחסן מידע, שהם חלק מהתנאים לפיתוח מחשב".
"בחלק מהמודלים הקיימים, יחידות המידע הבסיסיות של המחשב הקוונטי (קיוביטים) הן חלקיקים בודדים, שרגישים להפרעות סביבתיות", מוסיף ד"ר רונן. "באניונים לא-אבליים המידע על סדר ההחלפות שמור לא בצורה מקומית, אלא בפונקציית הגל של המערכת כולה. מערכות שהתכונות החשובות שלהן נשמרות ברמת המערכת כולה עמידות בפני תקלה נקודתית ונקראות מערכות טופולוגיות. מערכות אלו הן מהפתרונות המבטיחים לבעיית אמינות המחשבים הקוונטיים". על אף שמדענים הצליחו לאחרונה למדוד אניונים אבליים, עד כה לא נמדדו ישירות אניונים לא-אבליים.

במחקר החדש, בהובלת ד"ר ג'ייהון קים והימאנשו דב ממעבדתו של ד"ר רונן במחלקה לפיזיקה של חומר מעובה במכון, השתמשו בחומר שפותח בשנים האחרונות ונקרא גרפן דו-שכבתי. מדובר במעין "כריך" העשוי שתי שכבות דקות של אטומי פחמן, שכל אחת מהן מסודרת כחלת דבש. בחומר זה, המצב שבו אניונים לא-אבליים אמורים להופיע יציב, והמדענים יכולים לשלוט היטב במסלולי התנועה של אניונים.
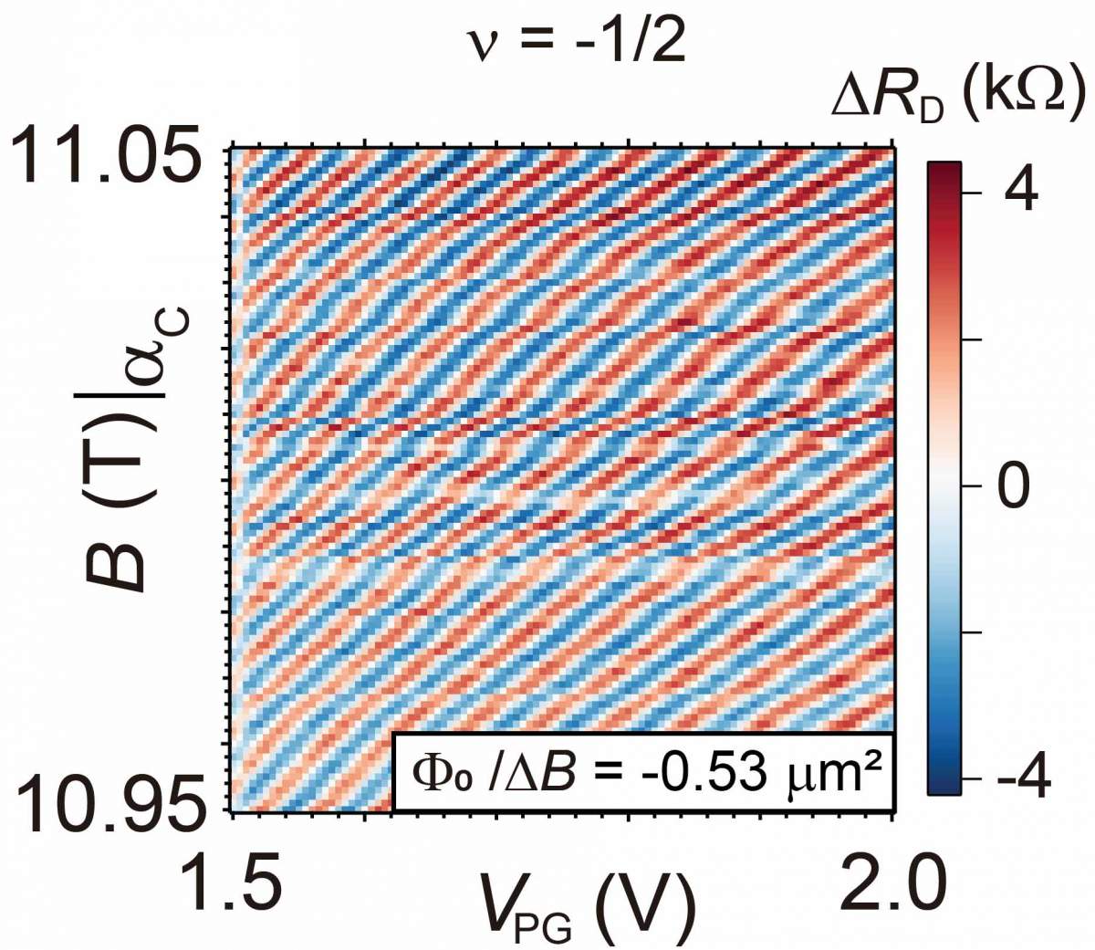
הניסוי שביצעו מדעני המכון מסתמך על ניסוי מפורסם באופטיקה מהמאה ה-19. בניסוי הקלאסי כולאים קרן אור בין שתי מראות. בכל פעם שהקרן פוגעת באחת המראות ומוחזרת, פונקציית הגל שלה מסתובבת בזווית (פאזה) מסוימת. כל עוד קרן האור המוחזרת לא מסונכרנת עם הקרן המקורית, הן מבטלות זו את זו ומתקבל אור חלש. לאחר כמה החזרות, פונקציית הגל משלימה סיבוב שלם וחוזרת לפאזה המקורית, כך שהקרניים מסונכרנות ומתקבל אור חזק. הניסוי מייצר דפוס של פסי אור וחושך שנקרא תבנית התאבכות, ולפי הדפוס המדויק פיזיקאים מסיקים מה היו תכונות הגל המקורי שנכלא בין המראות.
בניסוי הקוונטי המקביל, המדענים הביאו תחילה את האלקטרונים בחומר למצב שבו אמורים להימצא אניונים לא-אבליים. הם יצרו מסלול לולאה שבו גל של אניון אחד מקיף אי שבו יש אניונים אחרים ושדה מגנטי, ולאחר מכן שב ופוגש את הגל המקורי. בחלק הראשון של הניסוי, בחנו המדענים רק כיצד שדה מגנטי משנה את הפאזה של האניון שמקיף את האי. בכל סיבוב פאזת הגל החוזר השתנתה בהשפעת השדה המגנטי ובעת מפגש עם הגל המקורי הם התבטלו או התחברו. כמו הניסוי האופטי, גם ניסוי זה מייצר תבנית התאבכות, אך לא של פסי אור וחושך אלא של פסי התנגדות חשמלית גבוהה ונמוכה, שמהם ניתן ללמוד מהן תכונות האניון המסתובב.

"הצלחנו בניסוי למדוד שבר אלקטרון עם מכנה זוגי", מתאר ד"ר רונן. "אך בניגוד להנחה המקובלת שאניונים לא-אבליים הם רבע אלקטרון, הופתענו לראות במדידות כי גל של חצי אלקטרון הסתובב סביב האי. בעקבות ניסויים נוספים שביצענו, אנו מעריכים כי הסיבה לכך היא ששני אניונים לא-אבליים מקיפים את האי יחד, ועדיין לא הצלחנו להפריד ביניהם. בכל זאת, זהו צעד חשוב בדרך למדידה וזיהוי ישיר של אניונים לא-אבליים, ובימים אלו אנחנו מנסים להפריד ביניהם".
בניסוי נוסף שביצעו, ביקשו המדענים ללמוד על תכונות חלקיקי החומר שנמצאים בתוך האי. חלקיקים אלו נמצאים באינטראקציה עם החלקיק המסתובב ולכן המדענים שיערו כי יוכלו להשתמש בו כדי ללמוד עליהם. הם שינו את צפיפות החלקיקים באי ובחנו באיזו מידה זה משנה את פונקציית הגל של החלקיק המסתובב וכתוצאה מכך את תבנית ההתאבכות. שינוי בשיפוע של הפסים בתבנית ההתאבכות מעיד על המטען של החלקיקים באי והמדענים למדו ממנו כי יש להם מטען של רבע אלקטרון, כמצופה מאניונים לא-אבליים, וכפי שנמדד בעבר במעבדתו של פרופ' מוטי הייבלום, גם כן במכון ויצמן, בניסויי מנהור.
"הראינו שבגרפן דו-שכבתי יש חלקיקים שהם קרוב לוודאי אניונים לא-אבליים", אומר ד"ר רונן. "השלב הבא יהיה להצליח לחזות ישירות ב'זיכרון' של מערכת אניונים לא-אבליים, כלומר להצליח למדוד כיצד כל סדר החלפות של חלקיקים מייצר חתימה ייחודית בפונקציית הגל. מחשבים קוונטיים כיום מוגבלים לשדות מחקריים צרים וכדי שהם יהיו שימושיים יותר הם חייבים להיות אמינים. המחקר החדש מקדם אותנו צעד נוסף בדרך לפיתוח מחשב קוונטי עמיד לטעויות".
במחקר השתתפו גם עמית שעיר, ד"ר ראווי קומר, ד"ר אלכסיי אילין, ד"ר אנדרה האוג, שלי איסקוז, פרופ' דיוויד מרוס ופרופ' עדי שטרן מהמחלקה לפיזיקה של חומר מעובה במכון; פרופ' קנג'י וואטנבה ופרופ' טאקאשי טניגוצ'י מהמכון הלאומי למדעי החומרים, צוקובה, יפן.

כדי לתאר את המצב הקוונטי של 300 קיוביטים בלבד, כלומר לאחסן את כל המידע השמור בהם, מחשב קלאסי נדרש לזכור יותר מ-34 קוינטיליון מספרים מורכבים.